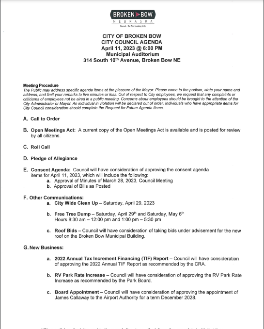
BROKEN BOW – The Broken Bow City Council will hold its mid-month meeting at 6 p.m. in the Municipal Building Auditorium on Tuesday, April 11.
The council will have consideration of approving the consent agenda, which contains the bills for the month and the minutes from the previous meeting on March 28.
In other communications, specific details will be unveiled for both the citywide cleanup scheduled for April 29 and the tree dump’s participation in the event. Additionally, the council will take bids under advisement for a new roof on the Municipal Building.
In new business, the council will consider approving a price increase on the RV Park, as recommended by the RV Park Board, and the 2022 annual Tax Increment Financing report.
The council will also pay special attention to the Airport Authority on Tuesday, as it will consider approving the appointment of James Callaway to the authority for a term running to December of 2028, and consider restating the length of terms for 3 recently appointed officials.
The city council will also have consideration of approving the appointment of Jacob Holcomb as its new Deputy Clerk, and the council will also consider appointing a new City Administrator. Mayor and council comments will conclude the meeting. A full agenda is attached.


