class="wp-singular post-template-default single single-post postid-2105740 single-format-standard wp-theme-flood mec-theme-flood wpb-js-composer js-comp-ver-8.7.2 vc_responsive"
Sandhills Express | KCNI | KBBN
Listen Live KBBN
Listen Live KCNI
Menu
Home
News
Local News
State News
Ag News
National News
World News
Political News
Health News
Entertainment News
Sports
Local Sports
Husker News
National Sports
Sports Broadcast Schedule
Weather
Weather Forecast
Road Conditions
Closings
Community
Community Calendar
Employment
Garage Sales
Restaurant Menus
Business Directory
Auctions
Obituaries
Livestream
On The Radio
Station Schedule & Events
KCNI Partyline / Card Showers
Contests and Promotions
Listen Live
About Us
Contact Us
EEO Public Report
Public File
BREAKING NEWS
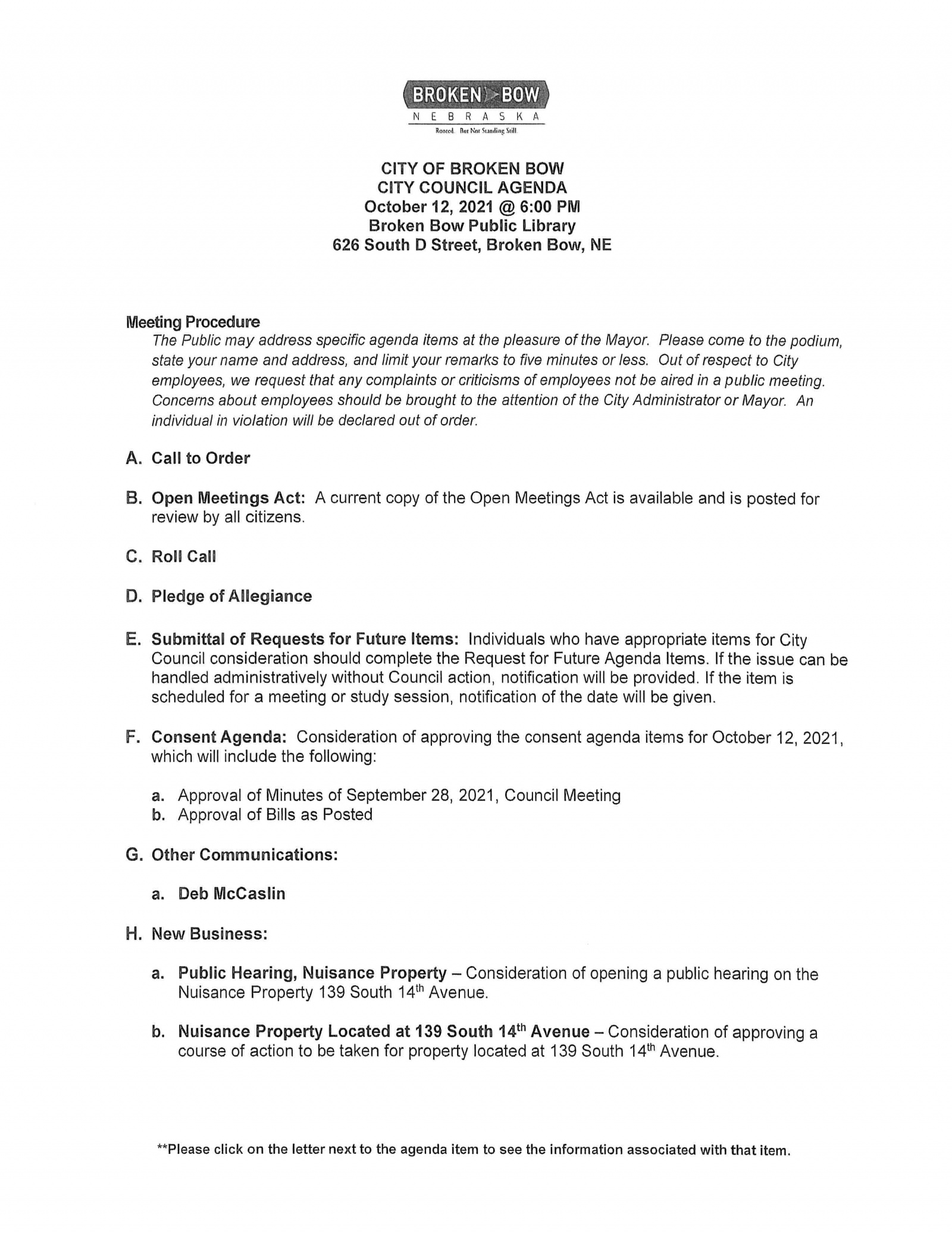
Agenda: City Council To Discuss Nuisance Property, KENO Funds, And More; Meeting At Library
BY
Berryman
|
October 12, 2021
Home
›
News
›
Local News
Share:
Related Articles
Several Cases Were Heard In Custer County District Court on Thursday, May 21st
Melham Park will be busy Friday afternoon for Last Day of School Fun Run
Downtown Trotter's Whoa & Go presented GROW award, celebrates 25 year anniversary and renovation
Continuance granted in school employee sexual abuse case