class="wp-singular post-template-default single single-post postid-2095565 single-format-standard wp-theme-flood mec-theme-flood wpb-js-composer js-comp-ver-8.7.2 vc_responsive"
Sandhills Express | KCNI | KBBN
Listen Live KBBN
Listen Live KCNI
Menu
Home
News
Local News
State News
Ag News
National News
World News
Political News
Health News
Entertainment News
Sports
Local Sports
Husker News
National Sports
Sports Broadcast Schedule
Weather
Weather Forecast
Road Conditions
Closings
Community
Community Calendar
Employment
Garage Sales
Restaurant Menus
Business Directory
Auctions
Obituaries
Livestream
On The Radio
Station Schedule & Events
KCNI Partyline / Card Showers
Contests and Promotions
Listen Live
About Us
Contact Us
EEO Public Report
Public File
BREAKING NEWS
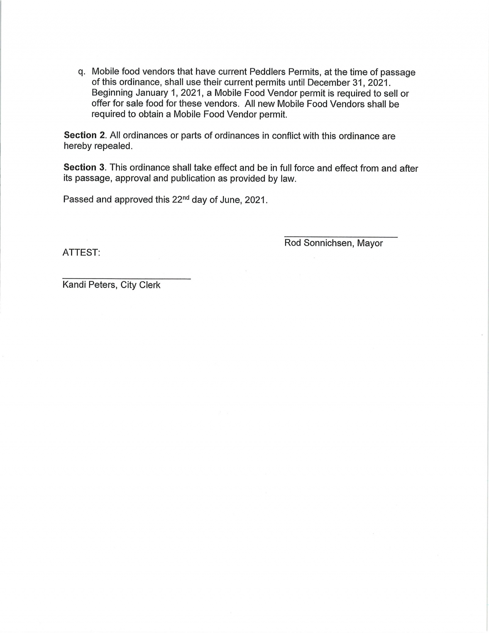
Agenda: City Council To Consider No Mobile Vendors At Square (With Exceptions)
BY
Berryman
|
June 22, 2021
Home
›
News
›
Local News
Share:
Related Articles
Local fire departments playing it safe with burn permit issuance
Area students achieve MNAC All-Academic Team
Registration open for 2026 Nebraska Lineworkers Rodeo
$1 Million Powerball winning tickets sold in Ord and Omaha